dvbbs
收藏本页
联系我们
相关帮助
dvbbs

安全支付说明 交易频道防骗必看 交易风险提示 防骗重要通知 交易规则 如何上传图片 收件箱打不开怎么办 信用积分纠错 交易评分指南
关于亮照亮证 新手注册指南 申请纯买家会员 卖家快速认证 推荐新会员 会员续费通知
>> 联体钞/纪念钞
搜一搜相关精彩主题 
投资资讯网交易在线钱币大卖场联体钞/纪念钞 → 龙钞标准生日钞今日库存更新(1.29)

免责声明: 本站所有交易发帖内容,均是为了更好地服务和方便本站用户。本站不保证所有信息、文本、图形、评分、链接及其它项目的绝对准确性和完整性。凡未采用本站中介交易的,被骗后果自负。
您是本帖的第 91 个阅读者
树形 打印
标题:
龙钞标准生日钞今日库存更新(1.29)
河南日月明
帅哥哟,离线,有人找我吗?
交易等级:营销员第5年
信用积分:4328
评分次数:91
营业执照:点击查看
发贴次数:2980
发帖积分:35871
注册日期:2016年5月10日
楼主
 用支付宝给河南日月明付款或购买其商品,支付宝交易免手续费、安全、快捷! 点击这里发送电子邮件给河南日月明 给此会员评分评分 查看此会员的打分情况 查看 亮照亮证

发贴心情
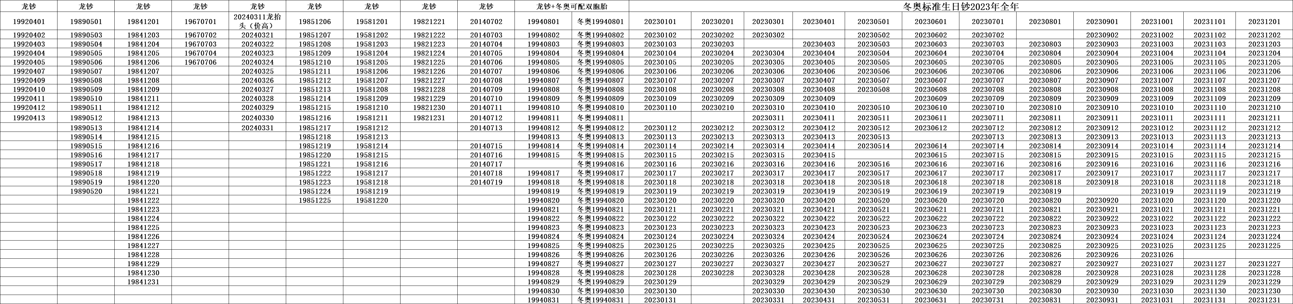
龙钞标准生日钞今日库存更新(1.29)

为方便龙钞生日钞客户寻找所需要号码,欢迎龙钞标准生日钞藏家联系我将手中号码资源录入《龙钞标准生日钞库存》。有求龙钞生日号的客户欢迎联系查号。联系18568116618(电话、微信同号)139电话不加微信。目前已录入库存号码近千张,并实时更新,有需要库存资源的朋友可加微信索要库存资源,持续关注库存变化。


图片点击可在新窗口打开查看此主题相关图片如下:
图片点击可在新窗口打开查看

营销员第10年
认证员注:交易级别有效期至2026年7月8日。
姓名: 李斐(已通过身份核查,号码一致,照片一致)
地址: 河南省洛阳市西工区唐二街坊24号楼2门202    邮编: 471000
手机: 18568116618(微信同号)
中信:6217  6811 0897 6617 李斐 古城路支行
ip地址已设置保密
2024/1/29 17:58:00
免责声明及风险提示: 所有交易人员,凡未采用本站中介交易的,被骗后果自负。

 1   1   1/1页      1    
Powered By Dvbbs Version 7.1.0 Sp1
Copyright ©2020 - 2025 Www.pm001.net 京ICP备2021027334号-1
页面执行时间 0.15625 秒, 3 次数据查询